通过海量题库、编程比赛和实时排名,系统化提升您的编程能力。
第1题
下列叙述中正确的是( )。
所谓算法就是计算方法
程序可以作为算法的一种描述方法
算法设计只需考虑得到计算结果
算法设计可以忽略算法的运算时间
第2题
算法就是程序
设计算法时只需要考虑数据结构的设计
设计算法时只需要考虑结果的可靠性
以上三种说法都不对
第3题
设计算法时需要同时考虑时间复杂度和空间复杂度
第4题
算法的有穷性是指( )。
算法程序的运行时间是有限的
算法程序所处理的数据量是有限的
算法程序的长度是有限的
算法只能被有限的用户使用
第5题
算法应当具有的特性不包括( )。
可行性
有穷性
确定性
美观性
第6题
算法的时间复杂度是指( )。
算法的执行时间
算法所处理的数据量
算法程序中的语句或指令条数
算法在执行过程中所需要的基本运算次数
第7题
算法时间复杂度的度量方法是( )。
算法程序的长度
执行算法所需要的基本运算次数
执行算法所需要的所有运算次数
执行算法所需要的时间
第8题
算法的空间复杂度是指( )。
算法程序中的指令条数
算法程序所占的存储空间
算法执行过程中所需要的存储空间
第9题
算法在执行过程中所需要的计算机存储空间
算法在执行过程中所需要的临时工作单元数
第10题
算法空间复杂度的度量方法是( )。
执行算法所需要的工作单元
执行算法所需要的存储空间
第11题
下列叙述中错误的是( )。
算法的时间复杂度与算法所处理数据的存储结构有直接关系
算法的空间复杂度与算法所处理数据的存储结构有直接关系
算法的时间复杂度与空间复杂度有直接关系
算法的时间复杂度与算法程序执行的具体时间是不一致的
第12题
下列关于算法复杂度叙述正确的是( )。
时间复杂度与所用的计算工具无关
对同一个问题,采用不同的算法,则它们的时间复杂度是相同的
时间复杂度与采用的算法描述语言有关
第13题
算法的效率只与问题的规模有关,而与数据的存储结构无关
算法的时间复杂度是指执行算法所需要的计算工作量
数据的逻辑结构与存储结构是一一对应的
算法的时间复杂度与空间复杂度一定相关
第14题
下面关于算法的叙述中,正确的是( )。
算法的执行效率与数据的存储结构无关
算法的有穷性是指算法必须能在执行有限个步骤之后终止
算法的空间复杂度是指算法程序中指令(或语句)的条数
算法所执行的基本运算次数与问题的规模无关
第15题
程序执行的效率与数据的存储结构密切相关
程序执行的效率只取决于程序的控制结构
程序执行的效率只取决于所处理的数据量
第16题
有一个以上根结点的数据结构不一定是非线性结构
只有一个根结点的数据结构不一定是线性结构
循环链表是非线性结构
双向链表是非线性结构
第17题
顺序存储结构的存储空间一定是连续的,链式存储结构的存储空 间不一定是连续的
顺序存储结构只针对线性结构,链式存储结构只针对非线性结构
顺序存储结构能存储有序表,链式存储结构不能存储有序表
链式存储结构比顺序存储结构节省存储空间
第18题
下列数据结构中,属于非线性结构的是( )。
双向链表
循环链表
二叉链表
循环队列
第19题
带链队列
二叉树
带链栈
第20题
以下数据结构中,属于非线性数据结构的是( )。
栈
线性表
队列
第21题
数据结构中,与所使用的计算机无关的是数据的( )结构。
存储
物理
逻辑
物理与存储
第22题
数据结构主要研究的是数据的逻辑结构、数据的运算和 ( )。
数据的方法
数据的存储结构
数据的对象
数据的逻辑存储
第23题
下列描述中,正确的是( )。
线性链表是线性表的链式存储结构
栈与队列是非线性结构
只有根结点的二叉树是线性结构
第24题
下列关于线性表的叙述中,不正确的是( )。
线性表可以是空表
线性表是一种线性结构
线性表的所有结点有且仅有一个前件和后件
线性表是由n个元素组成的一个有限序列
第25题
以下描述中,不是线性表顺序存储结构特征的是( )。
可随机访问
需要连续的存储空间
不便于插入和删除
逻辑相邻的数据物理位置上不相邻
第26题
一个逻辑数据结构只能有一种存储结构
逻辑结构属于线性结构,存储结构属于非线性结构
一个逻辑数据结构可以有多种存储结构,且各种存储结构不影响 数据处理的效率
一个逻辑数据结构可以有多种存储结构,且各种存储结构影响数 据处理的效率
第27题
数据的逻辑结构与存储结构必定是一一对应的
由于计算机存储空间是向量式的存储结构,因此,数据的存储结构一定是线性结构
程序设计语言中的数据一般是顺序存储结构,因此,利用数组只 能处理线性结构
第28题
存储空间连续的数据结构一定是线性结构
存储空间不连续的数据结构一定是非线性结构
没有根结点的非空数据结构一定是线性结构
具有两个根结点的数据结构一定是非线性结构
第29题
所有数据结构必须有根结点
所有数据结构必须有终端结点(即叶子结点)
只有一个根结点,且只有一个叶子结点的数据结构一定是线性结 构
没有根结点或没有叶子结点的数据结构一定是非线性结构
第30题
设数据元素的集合D={1,2,3,4,5},则满足下列关系R的数据结构中 为线性结构的是( )。
R={(1,2),(3,4),(5,1),(1,2)}
R={(1,3),(4,1),(3,2),(5,4)}
R={(1,2),(2,3),(4,5),(2,3)}
R={(1,3),(2,4),(3,5),(1,2)}
第31题
设数据集合为D={1,3,5,7,9},D上的关系为R,下列数据结构B= (D,R)中为非线性结构的是( )。
R={(5,1),(7,9),(1,7),(9,3)}
R={(9,7),(1,3),(7,1),(3,5)}
R={(1,9),(9,7),(7,5),(5,3)}
R={(1,3),(3,5),(5,9),(7,3)}
第32题
在线性表的顺序存储结构中,其存储空间连续,各个元素所占的 字节数( )。
相同,元素的存储顺序与逻辑顺序一致
相同,但其元素的存储顺序可以与逻辑顺序不一致
不同,但元素的存储顺序与逻辑顺序一致
不同,且其元素的存储顺序可以与逻辑顺序不一致
第33题
下列与栈结构有关联的是( )。
数组的定义域使用
操作系统的进程调度
函数的递归调用
选择结构的执行
第34题
下列关于栈的叙述中正确的是( )。
栈底元素一定是最后入栈的元素
栈操作遵循先进后出的原则
栈顶元素一定是最先入栈的元素
第35题
循环队列是队列的一种顺序存储结构
循环队列是队列的一种链式存储结构
循环队列是非线性结构
循环队列是一种逻辑结构
第36题
栈是一种先进先出的线性表
队列是一种后进先出的线性表
栈和队列都是非线性结构
第37题
下列有关栈论述正确的是( )
栈顶元素最先能被删除
栈顶元素最后才被删除
栈底元素永远不能被删除
第38题
在栈中,栈中的元素随栈底指针与栈顶指针的变化而动态变化
在栈中,栈顶指针不变,栈中元素随栈底指针的变化而动态变化
在栈中,栈底指针不变,栈中元素随栈顶指针的变化而动态变化
上述三种说法都不对
第39题
在栈中,栈中元素随栈底指针与栈顶指针的变化而动态变化
在栈中,栈中元素不会随栈底指针与栈顶指针的变化而动态变化
第40题
下列数据结构中,能够按照“先进后出”原则存取数据的是 ( )。
第41题
对于循环队列,下列叙述中正确的是( )。
队头指针是固定不变的
队头指针一定大于队尾指针
队头指针一定小于队尾指针
队头指针可以大于队尾指针,也可以小于队尾指针
第42题
栈是“先进先出”的线性表
队列是“先进后出”的线性表
有序线性表既可以采用顺序存储结构,也可以采用链式存储结构
第43题
一个栈的初始状态为空。现将元素1、2、3、4、5、A、B、C、 D、E依次入栈,然后再依次出栈,则元素出的顺序是( )。
12345ABCDE
EDCBA54321
ABCDE12345
54321EDCBA
第44题
循环队列有队头和队尾两个指针,因此,循环队列是非线性结构
在循环队列中,只需要队头指针就能反映队列中元素的动态变化
在循环队列中,只需要队尾指针就能反映队列中元素的动态变化
循环队列中元素的个数由队头指针和队尾指针共同决定
第45题
第46题
下列关于栈和队列的描述中,正确的是( )。
栈是先进先出
队列是先进后出
队列允许在队尾删除元素
栈在栈顶删除元素
第47题
如果进栈序列为A,B,C,D,则可能的出栈序列是( )。
C,A,D,B
B,D,C,A
C,D,A,B
D,B,C,A
第48题
设栈的顺序存储空间为S(1:m),初始状态为top=m+1。现经过 一系列入栈与退栈运算后,top=20,则当前栈中的元素个数为 ( )。
30
20
m-19
m-20
第49题
设循环队列的存储空间为Q(1:35),初始状态为 front=rear=35。现经过一系列入队与退队运算后,front=15,rear=15, 则循环队列的元素个数为( )。
15
16
0或35
第50题
设循环队列为Q(1:m),初始状态为front=rear=m。现经过一系 列的入队与退队运算后,front=rear=1,则该循环队列中的元素个数为 ( )。
1
2
m-1
0或m
第51题
设循环队列为Q(1:m),其初始状态为front=rear=m。经过一系 列入队与退队运算后,front=15,rear=20。现要在该循环队列中寻找 最大值的元素,最坏情况下需要比较的次数为( )。
4
6
m-5
m-6
第52题
设循环队列为Q(1:m),其初始状态为front=rear=m。经过一系 列入队与退队运算后,front=20,rear=15,要在该循环队列中寻找最 小值的元素,最坏情况下需要比较的次数为( )。
5
第53题
设循环队列为Q(1:m),其初始状态为front=rear=m。经过一系 列入队与退队运算后,front=30,rear=10。现要在该循环队列中作顺 序查找,最坏情况下需要比较的次数为( )。
19
第54题
一个栈的初始状态为空。现将元素A,B,C,D,E依次入栈,然 后依次退栈三次,并将退栈的三个元素依次入队(原队列为空),最 后将队列中的元素全部退出。则元素退队的顺序为( )。
ABC
CBA
EDC
CDE
第55题
设有栈S和队列Q,初始状态均为空。首先依次将A,B,C,D, E,F入栈,然后从栈中退出三个元素依次入队,再将X,Y,Z入栈 后,将栈中所有元素退出并依次入队,最后将队列中所有元素退出, 则退队元素的顺序为( )。
DEFXYZABC
FEDZYXCBA
FEDXYZCBA
DEFZYXABC
第56题
在下列链表中,能够从任意一个结点出发遍历访问到所有结点的 是( )。
单链表
第57题
下列链表中,其逻辑结构属于非线性结构的是( )。
带链的栈
第58题
下列线性链表的叙述中,正确的是( )。
各数据结点的存储空间可以不连续,但它们的存储顺序与逻辑顺 序必须一致
各数据结点的存储顺序与逻辑顺序可以不一致,但它们的存储空 间必须连续
进行插入与删除时,不需要移动表中的元素
第59题
下列关于线性链表的叙述中,正确的是( )。
以上说法均不正确
第60题
结点中具有两个指针域的链表一定是二叉链表
结点中具有两个指针域的链表可以是线性结构,也可以是非线性 结构
二叉树只能采用链式存储结构
第61题
下列关于线性链表的描述中,正确的是( )。
Ⅰ.只含有一个指针域来存放下一个元素地址
Ⅱ.指针域中的指针用于指向该结点的前一个或后一个结点(即前件 或后件)
Ⅲ.结点由两部分组成:数据域和指针域。
仅Ⅰ、Ⅱ
仅Ⅰ、Ⅲ
仅Ⅱ、Ⅲ
全部
第62题
在链表中,如果每个结点有两个指针域,则该链表一定是非线性 结构
在链表中,如果有两个结点的同一个指针域的值相等,则该链表 一定是非线性结构
在链表中,如果每个结点有两个指针域,则该链表不一定是线性 结构
在链表中,如果有两个结点的同一个指针域的值相等,则该链表 一定不是线性结构
第63题
存储空间不连续的所有链表一定是非线性结构
结点中有多个指针域的所有链表一定是非线性结构
能顺序存储的数据结构一定是线性结构
带链的栈与队列是线性结构
第64题
链表结点中具有两个指针域的数据结构可以是线性结构,也可以 是非线性结构
线性表的链式存储结构中,每个结点必须有指向前件和指向后件 的两个指针
线性表的链式存储结构中,每个结点只能有一个指向后件的指针
线性表的链式存储结构中,叶子结点的指针只能是空
第65题
有两个指针域的链表称为二叉链表
循环链表是循环队列的链式存储结构
带链的栈有栈顶指针和栈底指针,因此又称为双重链表
结点中具有多个指针域的链表称为多重链表
第66题
带链队列的存储空间可以不连续,但队头指针必须大于队尾指针
带链队列的存储空间可以不连续,但队头指针必须小于队尾指针
带链队列的存储空间可以不连续,且队头指针可以大于也可以小 于队尾指针
带链队列的存储空间一定是不连续的
第67题
在带链队列中,队头指针和队尾指针都是在动态变化的
在带链栈中,栈顶指针和栈底指针都是在动态变化的
在带链栈中,栈顶指针是在动态变化的,但栈底指针是不变的
在带链队列中,队头指针和队尾指针可以指向同一个位置
第68题
栈与队列都只能顺序存储
循环队列是队列的顺序存储结构
栈是顺序存储结构而队列是链式存储结构
第69题
循环队列属于队列的链式存储结构
双向链表是二叉树的链式存储结构
非线性结构只能采用链式存储结构
有的非线性结构也可以采用顺序存储结构
第70题
每一个结点有两个指针域的链表一定是非线性结构
所有结点的指针域都为非空的链表一定是非线性结构
线性结构的存储结点也可以有多个指针
第71题
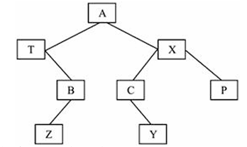
某系统总体结构如下图所示:
该系统总体结构图的深度是( )。
7
3
第72题
下列关于二叉树的叙述中,正确的是( )。
叶子结点总是比度为2的结点少一个
叶子结点总是比度为2的结点多一个
叶子结点数是度为2的结点数的两倍
度为2的结点数是度为1的结点数的两倍
第73题
一棵二叉树共有25个结点,其中5个叶子结点,那么度为1的结点 数为( )。
10
第74题
某二叉树有5个度为2的结点,则该二叉树中的叶子结点数是 ( )。
8
第75题
具有3个结点的二叉树有( )。
2种形态
4种形态
7种形态
5种形态
第76题
在一棵二叉树上,第5层的结点数最多是( )。
9
第77题
某二叉树中度为2的结点有10个,则该二叉树中有( )个叶子 结点。
11
12
第78题
在一棵二叉树中,叶子结点共有30个,度为1的结点共有40个,则 该二叉树中的总结点数共有( )个。
89
93
99
100
第79题
一棵二叉树中共有70个叶子结点与80个度为1的结点,则该二叉树 中的总结点数为( )。
219
221
229
231
第80题
某二叉树中有n个度为2的结点,则该二叉树中的叶子结点数为 ( )。
n+1
n-1
2n
n/2
第81题
某二叉树中有n个叶子结点,则该二叉树中度为2的结点数为 ( )。
第82题
在深度为7的满二叉树中,度为2的结点个数为( )。
64
63
32
31
第83题
深度为7的完全二叉树中共有125个结点,则该完全二叉树中的叶 子结点数为( )。
62
65
第84题
深度为7的二叉树共有127个结点,则下列说法中错误的是 ( )。
该二叉树有一个度为1的结点
该二叉树是满二叉树
该二叉树是完全二叉树
该二叉树有64个叶子结点
第85题
某二叉树中有15个度为1的结点,16个度为2的结点,则该二叉树 中总的结点数为( )。
46
48
49
第86题
某二叉树中共有935个结点,其中叶子结点有435个,则该二叉己 树中度为2的结点个数为( )。
66
436
434
第87题
某二叉树共有845个结点,其中叶子结点有45个,则度为1的结点 数为( )。
400
754
756
不确定
第88题
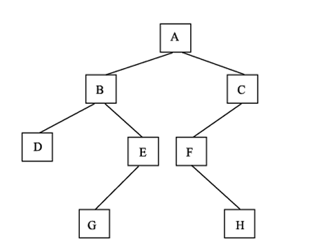
设有下列二叉树:
对此二叉树前序遍历的结果为( )。
ZBTYCPXA
ATBZXCYP
ZBTACYXP
ATBZXCPY
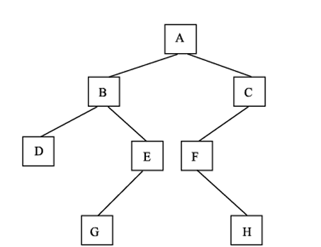
第89题
设二叉树如下:
则前序遍历为( )。
ABDEGCFH
DBGEAFHC
DGEBHFCA
ABCDEFGH
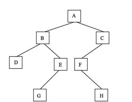
第90题
则中序遍历为( )。
第91题
则后序序列为( )。
第92题
设某二叉树的前序遍历为ABC,中序遍历为CBA,则该二叉树的 后序遍历为( )。
BCA
CAB
第93题
设某二叉树的后序遍历为CBA,中序遍历为ABC,则该二叉树的 前序遍历为( )。
第94题
二叉树的中序序列为BDCA,后序序列为DCBA,则前序序列为 ( )。
DCBA
BDCA
ABCD
BADC
第95题
己知二叉树后序遍历序列是CDABE,中序遍历序列是CADEB, 它的前序遍历序列是( )。
ABCDE
ECABD
EACDB
CDEAB
第96题
一棵二叉树的前序遍历结果是ABCEDF,中序遍历结果是 CBAEDF,则其后序遍历的结果是( )。
DBACEF
CBFDEA
FDAEBC
DFABEC
第97题
某二叉树的前序遍历为ABCDEFG,中序遍历为DCBAEFG,则 该二叉树的深度(根结点在第1层)为( )。
第98题
某二叉树的中序遍历为DCBAEFG,后序遍历为DCBGFEA,则 该二叉树的深度(根结点在第1层)为( )。
第99题
对下二叉树进行中序遍历的结果是( )。
ABDGEHCF
GDBEHACF
GDHEBFCA
第100题
对下列二叉树进行前序遍历的结果为( )。
第101题
对长度为n的有序链表进行查找,最坏情况下需要的比较次数为n
对长度为n的有序链表进行对分查找,最坏情况下需要的比较次数 为(n/2)
对长度为n的有序链表进行对分查找,最坏情况下需要的比较次数 为(log2n)
对长度为n的有序链表进行对分查找,最坏情况下需要的比较次数 为(nlog2n)
第102题
在长度为n的有序线性表中进行二分查找,最坏情况下需要比较 的次数是( )。
O(n)
O(n2)
O(log2n)
O(nlog2n)
第103题
为了对有序表进行二分查找,则要求有序表( )。
只能顺序存储
只能链式存储
可以顺序存储也可以链式存储
任何存储方式
第104题
下列数据结构中,能用二分法进行查找的是( )。
顺序存储的有序线性表
线性链表
有序线性链表
第105题
对有序线性表(23,29,34,55,60,70,78)用二分法查找值 为60的元素时,需要比较次数为( )。
第106题
设序列长度为n,在最坏情况下,时间复杂度为O(1og2n)的算 法是( )。
二分法查找
顺序查找
分块查找
哈希查找
第107题
下列排序方法中,最坏情况下时间复杂度最小的是( )。
冒泡排序
快速排序
堆排序
直接插入排序
第108题
对长度为n的线性表排序,在最坏情况下,比较次数不是n(n-1)/2的排序方法是( )。
第109题
待排序的关键码序列为(15,20,9,30,67,65,45,90), 要按关键码值递增的顺序排序,采取简单选择排序法,第一趟排序后 关键码15被放到第( )个位置。
第110题
设有关键码序列(Q,G,M,Z,A,N,B,P,X,H,Y, S,T,L,K,E),采用堆排序法进行排序,经过初始建堆后关键码 值B在序列中的序号是( )。
第111题
设有关键码序列(66,13,51,76,81,26,57,69,23),要 按关键码值递增的次序排序,若采用快速排序法,并以第一个元素为 划分的基准,那么第一趟划分后的结果为( )。
23,13,51,57,66,26,81,69,76
13,23,26,51,57,56,81,76,69
23,13,51,57,26,66,81,69,76
23,13,51,57,81,26,66,69,76
第112题
对于长度为n的线性表,在最坏情况下,下列各排序法所对应的 比较次数中正确的是( )。
冒泡排序为n(n-1)/2
简单插入排序为n
希尔排序为n
快速排序为n/2
第113题
冒泡排序在最坏情况下的比较次数是( )。
n(n+1)/2
nlog2n
n(n-1)/2
第114题
堆排序最坏情况下的时间复杂度为( )。
O(n1.5)
O(n(n-1)/2)
第115题
在最坏情况下( )。
快速排序的时间复杂度比冒泡排序的时间复杂度要小
快速排序的时间复杂度比希尔排序的时间复杂度要小
希尔排序的时间复杂度比直接插入排序的时间复杂度要小
快速排序的时间复杂度与希尔排序的时间复杂度是一样的
第116题
支持子程序调用的数据结构是( )。
树
第117题
下列关于栈的叙述正确的是( )。
栈按“先进先出”组织数据
栈按“先进后出”组织数据
只能在栈底插入数据
不能删除数据
第118题
栈和队列的共同点是()。
都是后进先出
都是先进先出
只允许在端点处插入和删除元素
没有共同点
第119题
下列关于队列的叙述中正确的是( )。
在队列中只能插入数据
在队列中只能删除数据
队列是先进先出的线性表
队列是先进后出的线性表
第120题
设栈的顺序存储空间为S(0:49),栈底指针bottom=49,栈顶指针top=30(指向栈顶元素)。则栈中的元素个数为( )。
29
第121题
某二叉树共有7个结点,其中叶子结点只有1个,则该二叉树的深度为(假设根结点在第1层)( )
第122题
下列二叉树描述中,正确的是( )。
任何一棵二叉树必须有一个度为2的结点
二叉树的度可以小于2
非空二叉树有0个或1个根结点
至少有2个根结点
第123题
深度为5的完全二叉树的结点数不可能是( )。
17
18
第124题
某二叉树的前序序列为ABCDEFG,中序序列为DCBAEFG,则该二叉树的后序序列为
EFGDCBA
DCBEFGA
BCDGFEA
DCBGFEA
第125题
下列排序方法中,最坏情况下比较次数最少的是( )。
简单选择排序
第126题
下列各序列中不是堆的是( )。
(91,85,53,36,47,30,24,12)
(91,85,53,47,36,30,24,12)
(47,91,53,85,30,12,24,36)
(91,85,53,47,30,12,24,36)
选择题(1 - 126题,共计100分)