画展策展人小蓝和助理小桥为即将举办的画展准备了 N 幅画作,其艺术价 值分别为 A1, A2, . . . , AN。他们需要从这 N 幅画中挑选 M 幅,并按照一定顺序 布置在展厅的 M 个位置上。如果随意挑选和排列,艺术价值的变化可能会过于 突兀,导致观众的观展体验不够流畅。
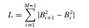
为了优化布置,他们查阅了《画展布置指南》。指南指出,理想的画展应使 观众在欣赏画作时,艺术价值的过渡尽量平缓。指南建议,选择并排列 M 幅 画,应使艺术价值的变化程度通过一个数值 L 来衡量,且该值越小越好。数值 L 的定义为:

其中 Bi 表示展厅第 i 个位置上画作的艺术价值。
现在,他们希望通过精心挑选和排列这 M 幅画作,使 L 达到最小值,以提升画展的整体协调性。请你帮他们计算出这个最小值是多少。
输入共两行。
第一行包含两个正整数 N 和 M,
分别表示画作的总数和需要挑选的画作数量。
第二行包含 N 个正整数 A1, A2, . . . , AN,表示每幅画作的艺术价值。
输出一个整数,表示 L 的最小值。
4 2 1 5 2 4
3
【评测用例规模与约定】
对于 40% 的评测用例,2 ≤ M ≤ N ≤ 103,1 ≤ Ai ≤ 103。
对于 100% 的评测用例,2 ≤ M ≤ N ≤ 105,1 ≤ Ai ≤ 105。